직장인분들이라면 매년 가장 궁금한게 바로 최저시급일겁니다. 그것에 따라 연봉도 좌지우지 되는 경우가 많습니다. 자영업자분들은 최저시급이 오름에따라 한숨이 커지기도합니다. 2022년 최저시급은 과연 어떻게 달라졌을까요? 함께 확인하시죠.


2022년 연봉의 실제 액수가 궁금하신 분들 많으실 겁니다. 그래서 오늘, 우리는 실제 최저시급과 2022년의 연봉을 공유할 거예요! 스펙업에서 급여 명세서가 잘 정리되어 있습니다! 2022년 최저시급/연봉/연봉 먼저 2022년 최저시급, 최저월급, 최저연봉에 대해 말씀드리겠습니다.
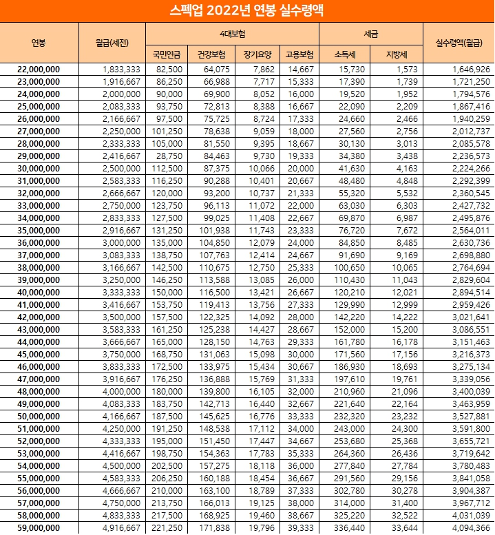
2022년 시간당 최저임금은 9160원으로 2021년 대비 5.1% 인상됐다. 2022년 최저 월 급여는 2021년 대비 약 5.1% 오른 191만4,440원이다. 2022년 최저 연봉은 2021년 대비 5.1% 오른 2297만3280원이다. 2021년과 비교해 올해 최저임금이 인상됐다. 급여와 연봉도 증가했다는 것을 알 수 있습니다! 그렇다면, 우리는 실제 연봉을 계산할 때 참고해야 할 점들을 살펴봐야 해! 급여금액참고 당신의 월급을 한눈에 이해하기 위해, 아래에 있는 급여표를 보여드리겠습니다!



먼저 테이블 위의 노트를 확인하고 테이블을 보세요! 우선 2022년 연봉 실질표 기준은 부양가족 1명을 기준으로 하고, 비과세 임금은 포함되지 않는다. 값의 결과입니다. 또한, 매년 6,100만 원부터, 국민연금은 같은 금액으로 적용될 것입니다! 이것은 최고 국민연금 기준에 따른 것이다!! 고용보험의 경우 2022년 6월까지 0.8%, 2022년 7월부터 0.9%로 바뀐다. 아래 급여 실납표에서 0.9%로 계산되오니 참고하시기 바랍니다.
마지막으로 각 회사의 연봉 지급 조건과 개인 사정에 따라 실제 연봉 금액이 달라질 수 있습니다. 참조용으로만 확인하십시오! 마지막으로 실제 급여 금액 공제 항목에 대해 설명한 후 2022년 실제 금액 표를 공개하겠습니다! 실봉금액공제항목 우리가 2022년 연봉의 실제 액수가 궁금한 이유는 공제 때문이다! 공제항목으로 인해 공제액이 발생하므로 공제금액을 제외한 임금을 받게 되므로 반드시 공제항목을 확인해야 합니다.


*4대보험 혜택을 받는 사람은 공제대상자를 제외하고 모두 임금을 받는다. 공제 대상으로 지정된 항목은 총 6개다. 국민연금, 건강보험, 장기요양보험, 고용보험, 소득세, 지방세다. 국민연금의 경우 세전 급여의 4.5%다. 건강보험의 경우 세전 급여의 3.495%가 장기요양보험의 경우 세전 급여의 12.2%를 차지한다. 고용보험의 경우, 세전 급여의 0.9%입니다. 소득세의 경우 간이세액 지방 소득세의 경우 소득세를 기준으로 10%입니다! 적용되는 6가지 공제 모두 우리가 받는 실제 급여에서 공제됩니다!
2022년 연봉실액표 2023년에는 최저임금 차등제가 적용될까요? 2023년 최저임금 차등제 적용에 대해 궁금하실 텐데요! 이정식 고용노동부 장관 후보자, 지역별·산업별 최저임금 차등적용 문제 그것은 단지 뻔한 대답이었다. 이 후보자가 후보 시절 최저임금 차등 적용을 언급했다. 그는 "현행법상 지역별 차이를 둘 수 없고 최저임금위원회 심의만 하면 업종별 차등 적용이 가능하다"고 말했다. 그는 "위원들이 독립성을 갖고 논의하고 있는데 발언하는 게 적절하다고 본다"고 말했다. 이어 "최저임금의 급격한 인상으로 중소 자영업자들이 어려운 게 사실"이라고 덧붙였다.
'고급정보' 카테고리의 다른 글
| 상속등기시 필요서류 확인 (0) | 2022.05.19 |
|---|---|
| 전문의 전공의 전임의 차이 (0) | 2022.05.19 |
| 당근 파종시기 재배방법 (0) | 2022.05.18 |
| 속이 더부룩하고 체한기분 (0) | 2022.05.17 |
| 손가락별 반지의 의미 확인 (0) | 2022.05.17 |